
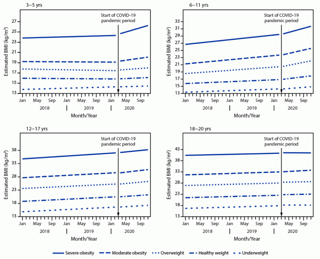
Accelerated rise in BMI (under 12 yr of age) during COVID-19 pandemic
Estimated body mass index before and during the COVID-19 pandemic, by initial body mass index category, stratified by age group — IQVIA Ambulatory Electronic Medical Records Database, United States, January 2018–November 2020.
EDITOR’S NOTE: “Among a cohort of 432,302 persons aged 2–19 years, the rate of body mass index (BMI) increase approximately doubled during the pandemic compared to a pre-pandemic period. Persons with pre-pandemic overweight or obesity and younger school-aged children experienced the largest increases.”